click this

ScuzzBlog: Diaries September 2017

Entry 20th September 2017: Post: 3


Networking Amigas


There are a few ways to link the Amiga to either another
Amiga or to another PC. The Amiga is quite capable of running
on a modern network and I recently explained how to do that
with Samba. Here are a few ways to consider that I use.

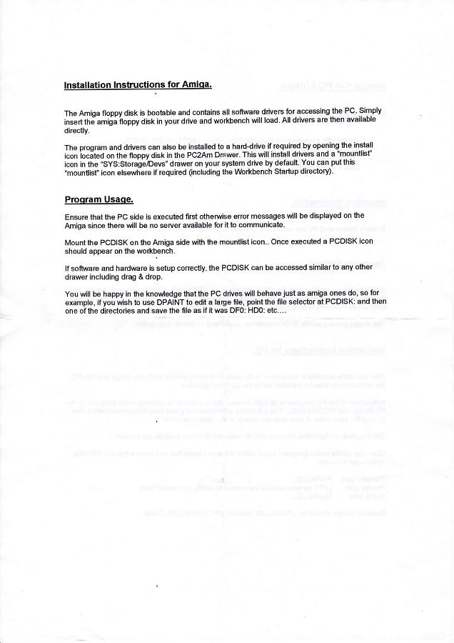
Ami-PC or PC2Am

Ami-PC or PC2Am

Ami-PC or PC2Am

Aminet no less

Serial network link up

The ever favourable Parnet
Cables are attached to Amigas

Not much in the way of instructions
I have previously written a guide may
add that here later

Ethernet Interface Card

See recent post on Samba for full guide


scuzz site

If you can only see this CONTENT window
then click the image above for the full site

Last updated 20/09/2017

Chandraise Kingdom

Keep the Faith